高能碰撞中的粒子碰撞与量子纠缠

  • 发布时间:2026-02-06
  • 浏览:

  对基本量子现象(如纠缠和贝尔不等式破坏)的探索——此前已在低能区域得到广泛研究——最近已扩展至高能粒子碰撞领域。实验上,贝尔不等式的破坏(挑战爱因斯坦的局域实在性原理)最早由A. Aspect、J. F. Clauser和A. Zeilinger在低能纠缠光子系统中观测到,三人因此荣获2022年诺贝尔物理学奖。粒子对撞机为探测量子信息理论提供了一个全新平台,其运行能量比以往实验高出十多个数量级,并涉及电弱与强相互作用。此外,对撞机探测器通过量子态层析技术,在量子态重构方面具有独特优势。本章综述了这一新兴领域中的关键理论与实验进展,强调其所面临的挑战、研究目标以及对量子信息理论和高能物理的潜在影响。

  量子力学(QM)最引人入胜的特征之一是复合系统中的纠缠现象。正如我们将展示的,这一特征在经典理论或完全决定论的理论(如隐变量理论(HVT)[5])中并无对应物;后者试图通过引入额外的经典隐自由度来解释量子力学的概率性本质。

  决定论理论基于两个关键假设:实在性(realism),即物理系统具有独立于观测的明确定义的属性;以及局域性(locality),即系统只能受其邻近环境影响,且任何相互作用的传播速度不超过光速。然而,量子纠缠现象违背了局域实在性原理,清晰划定了经典与量子现象之间的界限。

  量子纠缠的核心在于:无论子系统相距多远,它们仍能保持相互关联,从而揭示出量子力学的非局域特性。事实上,一个量子纠缠系统无法表示为其各组成部分状态的简单组合——它构成了一种超越经典可分性的非局域整体。这与局域实在性形成鲜明对比,后者假设系统的所有属性都是预先确定的,且独立于任何测量而存在。值得注意的是,纠缠系统的测量行为并不违反狭义相对论原理,因为在这些测量过程中,并无能量或信息以超光速传递。

  在1935年的开创性论文中,爱因斯坦、波多尔斯基和罗森(EPR)[6]指出:若假设局域实在性成立,则仅依赖波函数的量子力学对现实的描述是不完备的。这一观点为隐变量理论可能提供对量子现象的完备且决定论的解释打开了大门。关于量子力学框架与隐变量理论之间——或者说关于量子现象的局域性与非局域性之争——的辩论一直悬而未决,直到1969年约翰·贝尔(John Bell)提出了一项决定性检验来区分二者。他的方法涉及对一个纠缠双粒子系统中两个空间分离组分的自旋进行独立测量,并分析其关联性[7,8]。

  在假设这些测量彼此独立、且两次测量事件之间无超光速信号传递(即满足局域性)的前提下,可以推导出这些关联性的上限:这就是如今所称的贝尔不等式[7,8]。然而,量子力学预言了更强的关联性,能够突破这一经典界限,从而揭示其内在的非局域性。因此,实验中对贝尔不等式的破坏为反对局域隐变量理论提供了有力证据,支持了量子力学框架的非局域特性[8,9]。

  最早检验贝尔不等式破坏的实验使用了能量约为几个电子伏特的纠缠光子,详见[2]的综述。在这些实验中,光子对被制备成自旋单态,沿不同方向测量其偏振(类比于自旋测量),从而探测量子纠缠并检验贝尔不等式是否被破坏。

  贝尔不等式的首次实验破坏是在光学装置中实现的[10,11],由A. Aspect、J. F. Clauser和A. Zeilinger完成,该成就使他们荣获2022年诺贝尔物理学奖。这些结果激发了大量努力,旨在消除(或至少显著减少)实验漏洞。随后,利用光子[16,17]和原子[18]的低能实验几乎完全关闭了所有主要漏洞,为量子力学的非局域预言提供了强有力支持。进一步的实验在公里级距离上[21]乃至固态系统中[22]也证实了贝尔不等式的破坏。

  贝尔不等式的破坏在相对论性量子场论中同样被预期存在[23–28]。特别是,对于一个双粒子系统,若各方局域于类空间隔的时空区域中,则总存在某个量子态会导致相应贝尔不等式的最大破坏[23–28]。

  在高能物理中,也可通过对撞机上的基本粒子碰撞研究量子纠缠与非局域性。在此背景下,纠缠表现为自旋关联或味等内禀量子数的关联,因为其对应的对称群是非阿贝尔的[29]。

  乍看之下,人们可能认为在对撞机上研究纠缠或贝尔不等式破坏需要极化束流和靶材——类似于光子实验中使用偏振片——从而排除在高能物理中开展此类研究的可能性。然而,尽管存在此类批评[30],实际情况并非如此。对撞机实验通常使用非极化束流,且探测器并不直接测量粒子极化,而是通过母粒子衰变产物的角分布来推断其极化状态。这些角分布可用于重建关联,并将截面测量转化为极化密度矩阵。这种方法称为量子态层析(quantum state tomography),使得在对撞机上测量纠缠、检验贝尔非局域性成为可能,同时也为通过纠缠敏感观测量探测标准模型(SM)之外的新物理提供了新工具[31]。

  此处需澄清粒子物理中如何检验贝尔非局域性。检验非局域性与隐变量模型最清晰的框架是“黑箱”方法:可自由选择经典输入并记录相应输出[32,33]。这是量子信息理论中的标准方法[34,35],因为它避免了对测量装置细节的依赖——这些细节可能未知或存在不确定性。然而,目前或计划中的任何对撞机实验均不满足设备无关(device-independent)的要求。实际上,高能实验仅在特定设备设定下探测量子非局域性,在量子信息理论术语中,这对应于非局域性见证(non-locality witnesses),而非真正的贝尔检验——详见[29]。

  与传统贝尔检验不同(后者仅依赖于沿选定空间方向的联合概率测量,因而仅部分确定末态,留下漏洞),对撞机实验可通过量子层析实现对量子态的完整重构。这关闭了上述漏洞,并将贝尔检验简化为对合适观测量的直接评估[29]。

  在粒子物理中,纠缠最初通过低能质子系统进行研究[36],而针对高能对撞机的检验方案则见于[30,37,38]。此外,还在多种情境中提出了纠缠与贝尔不等式的检验,包括正电子素[39,40]、粲偶素衰变[41–45]、中微子振荡[46],以及中性介子-反介子系统[47–50]——尽管在最后一种情形中仅能间接检验贝尔非局域性。

  近期,随着大型强子对撞机(LHC)上顶夸克对产生过程中自旋关联可揭示纠缠[52]、且此类系统也可能违反贝尔不等式[53]的证明,高能纠缠现象学的研究兴趣被重新激发。这一复兴引发了一系列研究,尤其聚焦于顶夸克产生[54–59],以及涉及自旋为1的介子[60–62]、超子[62,63]、τ轻子对[64,65]、希格斯衰变产生的规范玻色子[66–69]和矢量玻色子散射[70]的系统。这些工作共同表明:在高能对撞机的多种过程中,纠缠与贝尔不等式破坏均可被观测,其相关现象学为探索标准模型之外的新物理提供了新途径[65,71–76]。更多细节参见近期综述[31]。

  高能物理中纠缠的探测最近已由CERN的ATLAS[77]和CMS[78,79]合作组确认:他们通过对LHC上阈值附近产生的顶夸克对自旋关联的分析,以超过5σ的显著性观测到纠缠。相比之下,高能下贝尔不等式破坏的首次确认来自对B介子衰变为两个自旋为1的介子过程的数据分析[60,61],基于LHCb合作组的实验分析[80]。该结果在能量约5 GeV的双qutrit(三能级系统)中提供了远超5σ显著性的贝尔破坏证据。这一能量尺度比典型光学实验[10,11,16]高出近十亿倍,并处于强相互作用与弱相互作用的共同作用范围内。

  近期,在粲偶素领域也确认了量子纠缠与贝尔不等式破坏,通过对粲偶素衰变为重子-反重子对(如(Λ, Σ, Λ, Ξ))及(φ)介子对的过程进行分析[62]。这些结果利用了BESIII合作组[81–91]以及ATLAS[92]、CMS[93]和LHCb[94]合作组提供的这些过程的螺旋度振幅数据。这些发现[62]在粲偶素质量尺度的高能环境中,为涉及不同自旋粒子(qubit与qutrit双粒子系统)且受电弱与强相互作用共同支配的系统中,提供了纠缠与量子非局域性的又一有力证据。

  本章回顾了粒子物理中关于双粒子qubit与qutrit系统中量子纠缠测量与贝尔不等式破坏的最重要成果。第2节概述了在粒子对撞机上分析自旋系统中量子观测量所需的理论框架。第3节总结了对撞机上纠缠与贝尔不等式破坏的主要实验结果,重点介绍LHC及现有e⁺e⁻对撞机上的研究,并展望未来拟建轻子对撞机的前景。最后,第4节对未来发展方向进行展望。

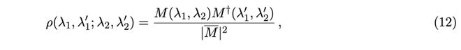
  我们在此介绍与纠缠和贝尔不等式概念相关的主要量子可观测量,这些可观测量涉及双粒子量子系统中自旋关联的测量。我们将聚焦于由自旋-1/2(qubit)粒子对和自旋-1大质量(qutrit)粒子对构成的双粒子系统。分析的核心是密度矩阵 ρ 的形式化表述,我们将在下节中引入该形式,并将其应用于两个 qubit 和 qutrit 粒子系统的极化态。

  一个量子系统的统计性质由一组属于希尔伯特空间的量子态 ψᵢ⟩ 表征,每个态对应一个概率 pᵢ,满足条件 0 ≤ pᵢ ≤ 1 且 Σᵢpᵢ = 1。此时,该状态被称为混合态。当量子态 ψ⟩ 被精确知晓时(即 p = 1,集合仅包含单一态),系统被称为纯态。

  混合态的统计描述可由一组纯态 ψᵢ⟩ 及其对应概率 pᵢ 构成的系综 {(pᵢ, ψᵢ⟩)} 来表达,这些概率编码了我们对系统的不完全认知。基于此,我们构建了一个称为密度矩阵的算符:

  其中 Tr[ρ] 表示 ρ 的迹。归一化条件 i) 表示总概率为 1(即系统必定处于某个确定的状态);条件 ii) 确保其本征值为实数(这是必要的,因为它们代表概率);而条件 iii) 确保概率(期望值)为非负。

  纯态的密度矩阵简单地由 ρ = ψ⟩⟨ψ 给出,因为我们精确知道是哪个态 ψᵢ⟩ 实际描述了系统。由此可得,对于纯态有:

  在复合量子系统中量化纠缠通常是一项困难的任务,特别是在混合态的情况下,只有有限的解决方案可用。然而,在某些特殊情况下,纠缠是可以很好地量化的。这就是纯态的情况,其中可以定义一个称为纠缠熵的量,也称为约化态的冯·诺依曼熵。对于具有相同维数的子系统A和B的二分系统,纠缠熵定义为

  其中 ln 表示自然对数,ρ_A 和 ρ_B 分别是子系统 A 和 B 的约化密度矩阵。纠缠熵的取值范围为 0 ≤ E[ρ] ≤ ln d,其中 d 是子系统 A 和 B 的有限维度。下界在且仅在双粒子纯态可分离时达到(对于纯态而言,这意味着 ρ²_{A,B} = ρ_{A,B}),而上界则在最大纠缠态时达到。显然,一个纯态是纠缠的,当且仅当其约化密度矩阵具有非零熵。

  在更一般的情形下,例如混合态的情形,必须依赖所谓的“纠缠判据”——即提供充分条件以指示系统中存在纠缠的量。最流行的一种是所谓的纠缠度(concurrence, ℰ)。对于纯态,它被定义为 [97–99]:

  在对撞机上研究量子关联(混合态)的最一般情形中,(8) 式给出的纠缠度下界可被用作纠缠见证(entanglement witness)。

  人们已知纠缠态会破坏所谓的贝尔不等式——这些不等式是涉及对双粒子量子系统中空间分离部分所进行测量之间关联性的数学表达式。贝尔不等式是区分量子力学预言与基于局域实在性和决定论的经典理论预言的关键实验工具。对贝尔不等式的破坏提供了强有力的证据,表明纠缠粒子的行为无法用任何局域隐变量理论加以解释,从而凸显了量子关联本质上非经典的特性。贝尔不等式建立在“贝尔局域性”(Bell locality)概念之上,而所有决定论理论都满足这一局域性。

  其中 η(λ) 是共享资源的概率分布,Pλ(Aa)(Pλ(Bb))是 Alice(Bob)获得结果 a(b)的概率。此条件定义了一个局域理论。如果实验结果违反该表达式——通常通过贝尔不等式进行检验——则该系统被视为非局域的,这突显了其与经典局域性概念的根本背离。

  贝尔检验涉及一组不等式,这些不等式在经典局域性假设下对联合概率 P(A, Ba, b) 施加约束。这些不等式的违反——在实验中被一致观测到——表明系统明显偏离了经典的、局域性的自然解释,揭示了量子现象固有的非局域特性。

  虽然纯态中的纠缠总是等价于贝尔非局域性,但这种等价性并不普遍适用于混合态。事实上,某些态是纠缠的,但仍满足贝尔局域性。这类例子大多可追溯到 Werner 态 [102],在双粒子 qubit 系统(如一对自旋-1/2 粒子)的情形下,它被定义为单重态与单位矩阵的混合态。另一个重要例子(在第 3.3 节讨论)是顶夸克-反顶夸克系统,它与 Werner 态类似,可以是纠缠的,但同时仍是贝尔局域的 [103]。

  此外,还有其他已知的相关性可用于探测量子纠缠,例如量子失协 [104]、导引性 [105] 和非负条件熵 [106]。这些可观测量捕捉了超越严格贝尔意义下纠缠的量子关联的不同层面。例如,量子失协识别出即使在可分态中依然存在的非经典关联形式;而导引性则刻画了一个子系统通过局域测量非局域影响另一子系统状态的能力。同样,非负条件熵提供了一个信息论标准,反映了纠缠的存在及其在量子通信任务中的潜在用途。综上所述,这些度量为理解和量化物理系统中的纠缠提供了互补的视角,并扩展了可用的工具箱。本章范围之外的详细讨论请参阅相关文献。

  在下文中,我们将自旋系统与其对应的量子信息类比物进行对应:一个自旋-1/2 粒子对应一个量子比特(qubit),一个自旋-1 粒子对应一个量子三态(qutrit),更一般地,一个自旋-J 粒子对应一个维度为 2J+1 的量子 d 态(qudit)。相应的形式化描述需要引入极化密度矩阵。

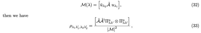
  我们首先从定义单个自旋-J 粒子的极化密度矩阵开始。为此,我们引入用于产生自旋-J 粒子的极化矩阵元 M(λ),其中 λ 通常表示沿选定自旋量子化轴(或等价地,螺旋度本征态)的自旋本征值——λ = -J, -(J-1), ..., (J-1), J。相应的极化密度矩阵是一个 (2J+1) × (2J+1) 矩阵,其定义如下:

  其中 M̄² 表示该过程对应的非极化平方振幅,且对初态粒子可能的内自由度求和是默认的。

  推广到两个自旋-J 粒子的情形是直接的。在这种情况下,我们引入用于产生这两个自旋-J 粒子的极化矩阵元 M(λ₁, λ₂),其中 λ₁ 和 λ₂ 分别指代粒子 1 和粒子 2 的自旋指标。相应的极化密度矩阵是一个 (2J+1)² × (2J+1)² 矩阵,其定义如下:

  其中,M̄² 再次表示两个自旋-J 粒子对应的非极化平方振幅。计算该极化密度矩阵(针对两个自旋-1/2 和自旋-1 粒子)的技术将在第 2.5 节中提供。

  现在,我们从讨论一对自旋-1/2 粒子(即量子比特,记为 A 和 B)的极化密度矩阵相关的量子可观测量开始。在此情形下,根据上述考虑(参见公式 (12)),相应的双粒子系统在自旋空间中的量子态可由以下厄米、归一化的 4×4 密度矩阵建模:

  其中 σᵢ 是泡利矩阵,λ₁,₂ 和 λ₁,₂ 标记矩阵元, 表示 2×2 单位矩阵,且指标 i、j 的求和覆盖三维空间中任意正交归一参考系的分量。乘积 A ⊗ B 通常表示 A 和 B 矩阵间的标准克罗内克积。我们采用缩写:[A ⊗ B]ᵢᵢ;ⱼⱼ = Aᵢᵢ Bⱼⱼ。

  实系数 Bᵢᴬ = Tr[ρ(σᵢ ⊗ )] 和 Bⱼᴮ = Tr[ρ( ⊗ σⱼ)] 分别代表两个量子比特(即自旋-1/2 粒子 A 和 B)的自旋极化;而实矩阵 Cᵢⱼ = Tr[ρ(σᵢ ⊗ σⱼ)] 则给出了它们的自旋关联。在粒子对系统的情形下,Bᵢᴬ,ᴮ 和 Cᵢⱼ 是描述该粒子对产生运动学参数的函数。此外,这些系数还需满足来自密度矩阵正定性要求(即公式 (2.1) 中的条件 ii)的额外约束;这些额外条件通常是复杂的,因为它们源于要求矩阵 ρ 的所有主子式均为非负数。

  在两个量子比特的特殊情形下,纠缠度可对任意量子态进行量化。事实上,纠缠度 ℰ[ρ] 可通过使用辅助矩阵进行解析计算:

  在此,我们分析由一对自旋-1 粒子构成的双粒子态的情形,该态可与两个量子三态(qutrits)相关联。根据第 2.3 节的考虑(参见公式 (12)),描述两个量子三态联合态的极化密度矩阵是一个 9×9 矩阵。因此,方便的做法是将相应的密度矩阵分解为涉及盖尔-曼矩阵 Tᵃ(其中 a = 1, ..., 8)和 3×3 单位矩阵 ₃ 的张量积之和,如下所示:

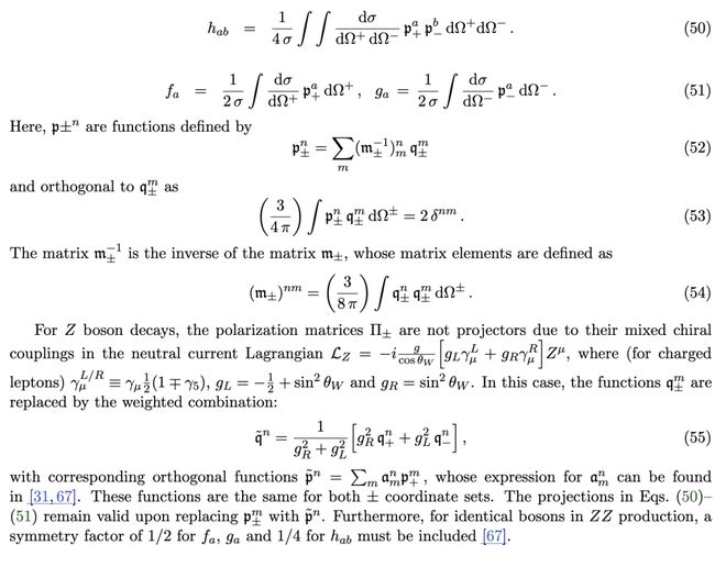
  其中我们省略了自旋指标,A ⊗ B 表示如上文所定义的标准克罗内克积。系数 fₐ 和 gₐ(a = 1, ..., 8),以及对称矩阵 hₐᵦ 的 64 个元素,通常依赖于产生这两个量子三态过程的运动学,并可从相关的跃迁振幅中解析计算得出。

  这些系数可通过将公式 (21) 中的密度矩阵 ρ 投影到所需的子空间基底上,利用迹运算获得:

  其中我们省略了自旋指标,A ⊗ B 表示如上文所定义的标准克罗内克积。系数 fₐ 和 gₐ(a = 1, ..., 8),以及对称矩阵 hₐᵦ 的 64 个元素,通常依赖于产生这两个量子三态过程的运动学,并可从相关的跃迁振幅中解析计算得出。

  这些系数可通过将公式 (21) 中的密度矩阵 ρ 投影到所需的子空间基底上,利用迹运算获得:

  在纯态的特殊情况下,人们总可以通过使用纠缠熵(如公式 (4) 所示)来量化两个量子三态的纠缠度。在下文中,我们将仅在标量衰变为两个自旋-1 粒子的特殊情形下,提供用极化系数表示的纠缠熵的解析表达式。

  量子三态的贝尔局域性检验:针对由两个量子三态构成的双粒子系统而专门定制的原始贝尔不等式的重新表述,由 Collins、Gisin、Linden、Massar 和 Popescu(CGLMP)不等式 [110–113] 提供。为明确写出该不等式,考虑一个由两个量子三态 A 和 B 组成的系统。对于量子三态 A,选择两个自旋测量设置,记为 Â₁ 和 Â₂,每个对应于具有三种可能结果 {0, 1, 2} 的自旋-1 可观测量的投影测量。类似地,对于量子三态 B,测量设置由 B̂₁ 和 B̂₂ 表示。基于这些可观测量,可以定义一个关联函数 I₃,其通过 [110] 中引入的特定组合构造而成:

  其中,贝尔算符 ℬ 的具体形式取决于测试中所使用的四个测量算符 Âᵢ 和 B̂ᵢ(i = 1, 2)的选择。对于最大关联的量子三态情形,寻找最优测量方案的问题已被解决 [114],且 9×9 维贝尔算符 ℬ 具有简单形式,其表达式可在 [31, 115] 中找到。

  因此,对于给定的密度矩阵,可以通过适当选择这些算符来增强对贝尔不等式的破坏。然而,无论作何选择,该可观测量的结果值都不应超过 4,否则将违背量子力学的有效性。

  此外,定义贝尔算符的测量设置还可通过可观测量的局域幺正变换进一步调整。在此类变换下,贝尔算符按如下方式变换:

  其中 U 和 V 是维度为 3×3 的独立幺正矩阵。这一过程实质上代表了对每个量子三态上的测量所施加的局域基底旋转。在下文中,第 3 节所呈现的现象学分析将利用这种自由度,以优化从参考文献 [116] 定义的贝尔算符中获得的 I₃ 值,从而最大化 I₃ 对应的贝尔不等式破坏。

  在本节中,我们介绍用于计算自旋-1/2 费米子和大质量自旋-1 粒子极化密度矩阵的洛伦兹协变方法——这些情形将作为后续现象学分析的基础。随后将另行讨论基于螺旋度振幅方法的独立分析。

  此处我们提供用于计算与自旋-1/2 费米子 ψλ 的极化态 λ 相关的密度矩阵的工具箱。推广到两个自旋-1/2 费米子的双粒子态是直接的。

  其中 λ 表示沿指定量子化方向的极化,λ ∈ {−½, ½},A 是振幅中乘以所产生费米子旋量 ūλ 的项。我们采用方括号记号 [⋯] 来追踪其内部量的旋量指标缩并。

  其中,p̸ ≡ γμpμ —— γμ 和 γ5 为通常的狄拉克矩阵——σᵢ 是泡利矩阵,{nᵢ^μ} 是一组类空四维矢量,每个都满足 nᵢ^μ pμ = 0。这些 nᵢ^μ 是通过将自旋四维矢量 n = (0, n⃗) 在费米子静止系中的标准基底进行洛伦兹变换,得到费米子具有四动量 p 的参考系中获得的。上述 n⃗ 定义了费米子静止系中的自旋极化矢量(模长为1)。

  推广到末态包含多个自旋-1/2 费米子的过程是直接的。所得的密度矩阵可以利用由泡利矩阵与单位矩阵的张量积所构成的基底进行展开。特别地,在此情形下,若我们定义:

  此处,张量积隐式应用于与两个费米子相关的泡利矩阵,自旋指标的缩并关系在整个过程中默认成立。这导出了公式 (13) 中给出的双粒子密度矩阵,其分量 Bᵢᴬ,ᴮ 和 Cᵢⱼ 可通过计算 ρ(见公式 (33))与相应的极化和关联矩阵投影算符的迹来提取,如公式 (13) 下方所示。

  接下来的第 3 节将聚焦于顶夸克和 τ 轻子对产生的量子层析,我们将在对撞机实验的具体背景下提供关于极化系数和关联系数推导的更多细节。

  在此,我们考虑自旋-1 的大质量粒子,其极化态对应于量子三态系统。类比于上述描述的自旋-1/2 系统,我们将一个具有螺旋度 λ ∈ {+1, 0, -1} 和动量 p 的大质量规范玻色子产生过程的振幅分解为:

  我们在此强调,公式 (21) 中密度矩阵的盖尔-曼表示仅是可能的参数化方式之一。关于用张量算符分量表示的三量子比特密度矩阵的其他表示形式,请参见 [108, 109]。

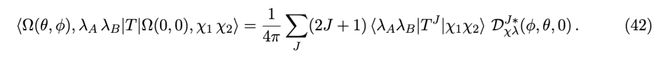
  我们现在讨论与螺旋振幅自旋形式体系的关联。螺旋振幅被定义为 S 矩阵在初态与末态螺旋本征态之间的矩阵元。这些螺旋态通常在质心系中指定,其中散射角决定了用于定义末态粒子 λᵢ⟩ 螺旋本征态的量子化轴。当这些态被变换到第 i 个粒子的静止系时,它们退化为通常的自旋本征态。

  k₁ 和 k₂ 是初态粒子的动量,它们沿 z 轴取向,即 Ω(θ = 0, φ = 0),其中 θ 和 φ 分别表示极角和方位角,而对散射角的全部依赖性被吸收到 Ω(θ, φ) 项中。上式中,χ₁ 和 χ₂ 表示初态粒子的螺旋度,而如前所述,λₐ 和 λʙ 指的是质心系中末态粒子的螺旋度。

  正如我们所见,振幅的全部角依赖性都包含在 Dᵪˡʲ(α, β, γ) 项中,这些项是旋转群自旋-J 表示中的维格纳 D 矩阵元(其中 α, β, γ 为通常的欧拉角),且 χ = χ₁ - χ₂,λ = λₐ - λʙ。

  其中,对初态粒子螺旋度的求和是隐含的,且 wⱼ₍λₐλʙ₎ ∝ ⟨λₐλʙTʲχ₁χ₂⟩。整体归一化因子由条件 Tr(ρ) = 1 确定,而在固定螺旋度下过程平方振幅(ℳ²)中对所有极化的求和也是隐含的。正如从该过程的柱对称性所预期的那样,对方位角 φ 的依赖性被抵消。

  对于 1 → 2 衰变过程,类似的表达式也成立,此时 J 对应于衰变粒子的自旋。正如我们将在下文中看到的,公式 (43) 中的表达式在此情况下特别适用于重构密度矩阵。

  只要这些分布能在母粒子静止系中获得,一个自旋粒子系统的极化密度矩阵就可以从其衰变产物的角分布中实验上重构出来。在这里,我们关注两个特定情况:一对自旋-½ 粒子(量子比特)和一对自旋-1 粒子(量子三比特)的产生,假设母粒子衰变为可探测的子代产物。

  作为一个例子,考虑一对顶夸克 t t̄ 的产生及其衰变为轻子道:t t̄ → ℓ⁺νb ℓ⁻ν̄b̄,其中 ℓ⁻(ℓ⁺) 表示轻子(反轻子),ν(ν̄) 表示中微子(反中微子),b(b̄) 表示底夸克(反底夸克)。该方法可推广至任何其他费米子-反费米子对。

  我们在顶夸克和反顶夸克的静止系中采用相同的归一化右手坐标系 {r̂, n̂, k̂},如文献 [121, 122] 所提出。此处,k̂ 表示在 t t̄ 质心系中顶夸克运动的方向,p̂ 表示实验室系中其中一个质子束的方向。其余方向 n̂ 和 r̂ 则按如下方式定义 [121, 122]:

  其中,Γ 是宽度,θ 是母粒子自旋方向与衰变产物 f 的动量之间的夹角,κ_f 是衰变产物的自旋分析能力,其取值范围为 -1 到 1,P 是母粒子的极化。

  然后,通过将数据拟合到公式 (46) 中沿 ij 方向的双分布 cos θ₊ⁱ cos θ₋ʲ,可以提取关联系数 Cᵢⱼ。类似地,拟合单分布 cos θ₊ⁱ 和 cos θ₋ʲ 可分别确定极化系数 B₊ⁱ 和 B₋ʲ。

  我们将自旋-1 规范玻色子视为量子三比特,其衰变产物充当内建的偏振计。我们以带正电的弱玻色子 W⁺ 为例开始讨论。W⁺ 的极化可通过其衰变 W⁺ → ℓ⁺ν 重构。在此情况下,轻子 ℓ⁺ 以正螺旋度发射,而中微子以负螺旋度发射,表明 W⁺ 沿轻子方向的极化为 +1。类似地,在 W⁻ → ℓ⁻ν̄ 衰变中,轻子 ℓ⁻ 具有负螺旋度,反中微子具有正螺旋度,从而得到 W⁻ 沿轻子方向的极化为 -1。

  在这两种情况下,末态轻子的方向(例如如图1所示)直接提供了 W 玻色子极化的探针。这些粒子动量是确定规范玻色子极化态所必需的基本可观测量——无论是来自模拟还是实验数据。

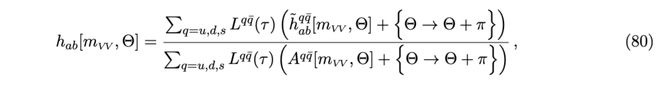
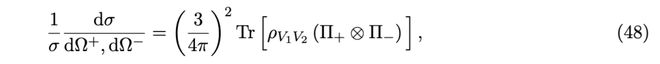
  利用文献 [67] 中概述的方法,可以从公式 (21) 的密度矩阵分解中通过双微分角分布 [124] 提取出关联系数 (hₐᵦ) 和极化系数 (fₐ, gₐ)。

  其中,σ 是两个规范玻色子衰变为轻子道的产生截面,dΩ± = sinθ± dθ± dφ± 是末态轻子在各自 W± 玻色子静止系中的立体角。对 mᵥᵥ 和 Θ 的依赖关系是隐含的。矩阵 ρᵥ₁ᵥ₂ 描述了两个自旋-1 玻色子的产生,如公式 (21) 所示。

  极化矩阵 Π± 编码了规范玻色子的手性衰变结构,其中将无质量的末态轻子近似为投影算符。这些矩阵是通过将自旋 ±1 态从 z 轴旋转到任意方向得到的。在盖尔-曼基底下,它们由下式给出:

  其中,维格纳函数 ±ᵃ 是轻子球坐标角的函数,其表达式可在例如文献 [31, 67] 中找到。

  关联系数 hₐᵦ 和极化系数 fₐ、gₐ 可通过公式 (48) 中的单微分与双微分截面,经投影得到:

  在本节中,我们介绍关于对撞机上量子纠缠和贝尔不等式违背的测量结果及标准模型(SM)预测的主要内容。我们首先回顾已在低能过程中观测到量子纠缠和贝尔不等式违背的最相关案例,重点关注中性 B 介子和粲偶素衰变为量子比特和量子三比特双粒子末态的情形,这些研究已在 LHCb、Belle II 和 BESIII 实验中开展。接着,我们讨论近期在 LHC 上对顶夸克对产生中纠缠现象的测量,以及在双玻色子(WW、ZZ 和 WZ)产生过程、以及通过共振希格斯中介道(WW* 和 ZZ*,其中 * 表示离壳玻色子)探测贝尔不等式违背和量子纠缠的前景。最后,我们考察了在各种对撞机设施上通过 τ 轻子对产生检验这些量子特性的潜力。

  首次在高能区观测到贝尔不等式违背——其统计显著性远高于通常的 5σ 阈值——是在中性 B⁰ 介子衰变为两个自旋-1 矢量介子 V₁ 和 V₂ 的背景下实现的 [60, 61]。该结果是通过对 LHCb 合作组的数据分析获得的 [80]。

  用于重构密度矩阵的理论框架依赖于应用于涉及两个量子三比特末态的螺旋振幅自旋形式体系,如第 2.5.3 节所讨论。

  在 (赝)标量介子衰变为两个大质量自旋-1 粒子的特定情况下(例如 B⁰ → V₁V₂),公式 (43) 中的密度矩阵表达式显著简化。由于 B⁰ 介子自旋为零,密度矩阵不再依赖散射角 θ。事实上,相关的维格纳 D 矩阵元退化为单位矩阵,且仅保留三个非零的螺旋振幅,这由角动量守恒决定。

  由于螺旋度守恒,这两个大质量自旋-1 粒子的(纯)量子自旋态可表示为 [69, 73]

  横向螺旋态 ++⟩ 和 --⟩ 相对于纵向分量 00⟩ 的相对贡献由角动量守恒决定。因此,相应的螺旋密度矩阵 ρ = ⟩⟨ 完全由螺旋振幅确定。如果选择维度为 9 的极化基的表示如下:

  这些关系使我们能够将公式 (58) 中的密度矩阵用实验上可获取的极化可观测量重新表示。

  具有最精确测量的极化振幅的衰变道是 B⁰ → J/ψ K* [80]。假设密度矩阵取公式 (58) 给出的形式,已有研究 [60] 表明:

  导致贝尔不等式 I₃ 2 的违背,其统计显著性远超 5σ 阈值——数值上达到 36σ 水平,同时对于纠缠熵 ℰ 0 也是如此。

  为解决“局域性漏洞”——该漏洞涉及未被类空间隔分隔的事件(如在 J/ψ K* 衰变的情形中)——必须考虑两个末态粒子相同的衰变过程,例如 Bₛ → φφ。在此情况下,由于两个 φ 介子具有相同的寿命,衰变呈现出指数时间分布,且超过 90% 的事件发生在类空间隔处 [61]。

  对于 Bₛ → φφ 衰变 [128],关于纠缠熵和贝尔不等式违背的相应分析 [60, 61] 给出:

  中性 B 介子的其他衰变道中也报告了量子纠缠和贝尔不等式违背,但统计显著性较低 [60]。

  来自粲偶素衰变实验的螺旋振幅测量也可提供一种手段,用于量化末态自旋关联中的纠缠,并探测贝尔不等式的潜在违背。

  粲偶素衰变最初在文献 [37, 41] 和 [42, 43] 中被识别为粒子物理中检验贝尔不等式违背的有前景候选者。特定衰变道如 ηc → ΛΛ̄ 和 J/ → ΛΛ̄ 最初被研究,后在文献 [44] 中得到更详细的探讨。

  最近,参考文献 [62] 研究了由自旋-0、自旋-1 和自旋-2 粲偶素系统衰变产生的各种双粒子末态中的量子纠缠及贝尔不等式违背。

  该分析利用了由 BESIII 合作组提供的螺旋振幅数据 [81–91],以及来自 ATLAS [92]、CMS [93] 和 LHCb [94] 合作组测量的 Λb → J/ψ Λ 过程中关于 J/ψ 衰变的额外数据。下文,我们总结文献 [62] 中关于粲偶素衰变中纠缠和贝尔不等式违背的最重要发现。本文重点关注自旋-0 和自旋-1 粲偶素态的最相关结果。对于统计显著性相对较低的自旋-2 态的讨论,读者可参阅文献 [62]。

  为更全面地探讨粲偶素衰变中的量子关联、退相干效应以及局域性漏洞的作用,请参见文献 [62]。

  标量和赝标量粲偶素自旋-0 态 ηc 和 χc⁰ 可衰变为一对奇异 Λ 重子与反重子:

  由该密度矩阵计算出的纠缠度(concurrency)达到最大值,[ρ] = 1。因此,霍罗德茨基条件取值 m₁₂ = 2,表明贝尔不等式被最大程度地违背。尽管该评估无需实验输入的螺旋振幅数据,但确定结果统计显著性仍需依赖对这些振幅的数据分析所引入的不确定性。目前,BESIII 实验合作组尚未提供这些不确定性。

  下一个相关情况是粲偶素的标量态,它可以衰变为一对自旋-1 的 φ 介子:

  自旋-1 粒子的衰变通过其极化密度矩阵的结构表现出对散射角 θ 的依赖性,如公式 (43) 中以螺旋振幅展开的形式所示。关于自旋-1 粲偶素衰变中各种末态所对应的极化密度矩阵的更多细节,可参见文献 [62]。因此,对纠缠的量化以及贝尔不等式的违背呈现出角依赖性,这种依赖性可用于识别这些效应被增强的区域。

  文献 [62] 利用 BESIII 合作组多项分析的数据,研究了以下自旋-1 粲偶素态的衰变。在其中多个衰变道中,贝尔不等式的违背已被观测到,且统计显著性超过 5σ:

  这包括衰变 ψ(3686) → Λ + Λ̄ [91] 和 ψ(3686) → Ξ⁰ + Ξ̄⁰ [88],其中存在违背现象,但统计显著性较低。相比之下,衰变 ψ(3686) → Ω⁻ + Ω⁺ [89] 显示出量子纠缠的证据,但未出现贝尔不等式的显著违背。

  在表1中,我们报告了在对自旋-½ 重子最敏感的粲偶素衰变道中,量子纠缠和贝尔不等式违背的相应结果总结——对于量子比特,分别由可观测量 [ρ] 和 m₁₂ 进行量化 [62]。这些结果在 θ = π/2 处进行评估,此时违背程度达到最大,纠缠程度也达到最大。

  该贝尔不等式违背的显著性被发现为 98.7σ,但应注意的是,此估计仅考虑了统计不确定性。关于纠缠,由于这是一个由两个量子三比特在混合态中产生的二分系统,只能使用公式 (8) 中定义的量 ℰ₂。这提供了纠缠的一个下限,在 θ = π/2 时其最大值约为 ℰ₂ ≈ 1,如文献 [62] 所报告。

  在部分子层次上,LHC 上的顶夸克对产生 (t t̄) 通过两种主要过程进行:夸克-反夸克湮灭 (q q̄ → t t̄) 和胶子-胶子融合 (g g → t t̄)。相应的标准模型费曼图如图2所示。因此,顶夸克对是在混合态中产生的,源于不同的初态。

  公式 (71) 中涉及交换(Θ → Θ + π)的最后几项,用于描述源自 LHC 上任一质子束的夸克与反夸克交换下的对称性,因为这两种构型具有相同的部分子亮度函数。在标准模型中,夸克引发过程的单自旋极化系数在领头阶下恒为零,即 Bᵢ^(q q̄) = 0,除非存在由高阶电弱修正或 b b̄ → t t̄ 过程引起的微小贡献——本质上是 W 介导的(t 通道)图与相应的胶子介导的(s 通道)图之间的干涉。

  顶夸克对产生是当前一系列高能量子纠缠研究中首个被分析的过程。在文献 [52] 中,已在文献 [122] 引入的参考系下计算了极化密度矩阵的预期矩阵元,并计算了纠缠度 [ρ]。

  在 t t̄ 质心系中,公式 (71) 中极化密度矩阵的矩阵元 Cᵢⱼ 对散射角 Θ 和速度因子 βₜ = √(1 - 4mₜ²/mₜₜ²) 的依赖关系,在 Θ = π/2 的中心区域显著简化,此时顶夸克对横向产生,纠缠达到最大值 [31, 53]。存在两个纠缠尤为显著的区域:阈值附近的狭窄区域,以及散射角接近 π/2 的 boosted 区域。在后一种情况下,贝尔不等式的违背(由 m₁₂ 量化)也达到最大值。参见图3中可观测量 [ρ] 和 m₁₂ 随 mₜₜ 和 cosΘ 变化的等高线] 中已表明,纠缠对运动学变量非常敏感。这可以通过注意到量

  其中,φ 是在衰变顶夸克和反顶夸克的静止系中计算出的相应轻子之间的夹角 [52]。

  ATLAS [77] 和 CMS [78, 79] 合作组最近分析了 13 TeV 的质子-质子碰撞数据,并从公式 (74) 中的微分截面提取了 D 的值。该分析聚焦于全轻子道的顶夸克对事件,通过标记两个具有高横向动量的相反电荷轻子来识别。可观测量 D 在粒子层次上于近阈值区域被测量——具体而言,对于 ATLAS,测量范围为 340 GeV mₜₜ̄ 380 GeV;对于 CMS,测量范围为 345 GeV mₜₜ̄ 400 GeV。测量结果如下:

  两个实验中测得的 D 值均小于 −1/3,ATLAS 和 CMS 合作组观测到的统计显著性均超过 5σ,从而首次在实验上观测到顶夸克自旋之间存在纠缠。

  观测到的纠缠程度超过了模拟预测值,这表明后者可能需要对 t t̄ 产生过程中近阈值效应进行更精确的建模。在 CMS 的分析中,蒙特卡洛模拟包含了来自“顶偶素”(toponium)束缚态的单色贡献——即一种赝标量的 t t̄ 束缚态——其计算依据见文献 [131]。包含这一贡献倾向于增强预测的纠缠程度,并改善了模拟与数据之间的一致性。

  值得注意的是,最近在文献 [132] 中,已将所有按 αₛ/v 的幂次缩放的修正项(其中 v 是顶夸克在 t t̄ 静止系中的速度)纳入对 t t̄ 产生中自旋关联敏感的可观测量中。这些修正项主要由 v ∼ αₛ 量级的速度主导,类似于量子电动力学(QED)中的索末菲-费米修正(Sommerfeld-Fermi corrections)[133, 134],用于描述非微扰的类库仑 QCD 效应。文献 [132] 指出,包含这些修正项可显著缓解、甚至消除理论预测与实验数据之间的张力。

  顶夸克–反顶夸克对之间的纠缠导致可测量的贝尔不等式违背,该违背通过霍罗德茨基判据(20)[53] 进行量化。具体而言,这种违背由以下可观测量所刻画:

  如第 2.3 节所述,其中 m₁,₂ 是公式 (20) 中 CCᵀ 矩阵的两个最大特征值。LHC 上顶夸克对产生过程中 m₁₂ 在可及运动学相空间内的分布如图 3 右侧面板所示。

  如图 3 所示,量子纠缠和贝尔不等式违背(编码于 m₁₂[C] 的取值中)在更大的散射角和更高的不变质量 mₜₜ̄ 下得到增强。与前一节概述的定性预期一致,m₁₂ 最显著的区域对应于 mₜₜ̄ 900 GeV 且 cosΘ/π 0.2。在此运动学区间内,m₁₂ 的平均值达到 1.44 [71]。

  已有多项研究在顶夸克对产生中对量子可观测量进行了蒙特卡洛模拟——同时考虑了全轻子道和半轻子道衰变通道——见文献 [53–55, 58, 59]。这些研究成功复现了标准模型的解析预测,并提供了对纠缠和贝尔不等式违背相关不确定性的估计。

  从模拟事例中,如第 2.6.1 节所解释的,带电轻子之间的角关联——特别是乘积 cosθ₊ⁱ cosθ₋ʲ——被用于提取矩阵 Cᵢⱼ,该矩阵编码了纠缠和贝尔不等式可观测量。这要求重构顶夸克静止系,包括中微子动量。在文献 [53] 中,m₁₂ 的值是在修正偏置后估算的。对于 LHC 上 Run 1 和 Run 2 数据集的联合分析(积分亮度为 300 fb⁻¹),预测的贝尔不等式违背显著性达到 3σ;而在高亮度 LHC(Hi-Lumi LHC)下,当积分亮度达到 3 ab⁻¹ 时,显著性增加至 4σ [53]。相比之下,在文献 [54] 中报道了同一运动学区域的较低显著性:Run 1 加 Run 2 数据低于 1σ,而 Hi-Lumi LHC 下仅为 1.8σ。如文献 [58, 59] 的分析所示,全轻子道与半轻子道之间的显著性预计会提高 1.6 倍。

  除了贝尔非定域性之外,还有一些研究分析了在 t t̄ 末态系统中的量子失协(quantum discord)[138, 139]、可导引性(steerability)[139] 以及非负条件熵(non-negative conditional entropy)[138]。这些研究超越了对贝尔不等式的传统关注,为理解 t t̄ 系统中量子关联的结构提供了互补性的见解。综合来看,这些工作表明 t t̄ 系统构成了一个丰富的实验平台,可用于检验量子信息理论的不同方面,从而拓展我们对粒子物理实验中量子关联表现形式的理解。

  纠缠也可用于探测超出标准模型(SM)的新物理效应。相较于传统的无极化可观测量(如总截面),其优势在于:纠缠对极化密度矩阵中所包含的所有极化振幅均敏感。然而,极化测量中的不确定性可能会削弱这种敏感性。

  在此框架下,文献 [140] 研究了顶夸克对自旋纠缠的可能修正。该方法采用标准模型有效场论(SMEFT)的有效拉格朗日量,其形式如下 [141]:

  其中,Λ 表示新物理的能标,cᵢ 为威尔逊系数。在 QCD 领头阶下,所有 CP 偶维度六算符均被纳入顶夸克自旋纠缠的分析中:包括一个零费米子算符、两个双费米子算符和十四个四费米子算符 [140]。SMEFT 展开中高阶项的贡献已在文献 [142] 中进行了分析。

  纠缠受正比于 cᵢ/Λ² 的干涉项(在截面中呈线性)以及正比于 (cᵢ/Λ²)² 的二次项影响。在阈值附近,干涉效应较小,而二次项会降低纠缠度;在高能区,这两类贡献都会显著抑制纠缠。

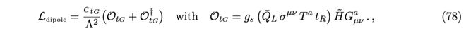
  利用纠缠来限制新物理对胶子磁偶极子算符贡献的研究已在文献 [71] 中进行分析。为此目的,采用了如下有效拉格朗日量:

  其中,Qₗ 和 tᵣ 分别代表 SU(2)ₗ 左手双态顶-底夸克场和右手顶夸克场,而 H̃ 如通常所定义,是 SU(2)ₗ 双态希格斯场的对偶场,v 为标准模型希格斯真空期望值。类色磁偶极矩则由 μ = −(√2 mₜ v / Λ²) cₜG 给出。文献 [71] 中的一项简单蒙特卡洛研究表明,在运动学区域 mₜₜ̄ 900 GeV 且 2Θ/π 0.85(此时标准模型与新物理预测相差约 3%)下,利用 LHC Run2 数据,当 μ = 0.003 时可实现 2.3σ 的区分度。该结果与文献 [140] 的分析一致(对应 cₜG = -0.1,Λ = 1 TeV),并优于当前 μ ≈ 0.02 的限制 [143]。

  在 LHC 上通过规范双玻色子产生过程研究量子可观测量在量子三比特系统中的测量潜力,已在文献 [67, 69, 74] 中通过考察以下过程进行了探索:

  这些末态可通过电弱过程在连续的双玻色子不变质量谱上产生。相应的树图层次部分子能级费曼图如图4所示。

  在文献 [69] 中,双玻色子系统的极化密度矩阵已在标准模型框架内通过解析方法推导得出,所用方法详见第 2.5.2 节。相比之下,文献 [67] 则通过双玻色子衰变的事例模拟,采用第 2.6.2 节所述方法重构了相同的密度矩阵。

  双玻色子系统的极化密度矩阵可利用盖尔-曼基底分解构建,如公式 (21) 所述。特别地,类比于顶夸克对产生中量子比特系统的公式 (71),我们得到关联系数 hₐᵦ 为:

  其中 {a, b} ∈ {1, …, 8},mᵥᵥ 表示双玻色子末态的不变质量,Θ 是其质心系中的散射角。简写符号 A^(q q̄) 表示该过程自旋求和后的平方振幅,而 h̃ₐᵦ = A^(q q̄) hₐᵦ。函数 L^(q q̄)(τ) 是夸克部分子亮度函数,定义于公式 (70) 中。对于极化系数 fₐ 和 gₐ,存在类似的表达式。函数 hₐᵦ、fₐ、gₐ 已在文献 [69] 中计算得出,其解析表达式可参见文献 [31, 69]。

  量子三比特的量子纠缠和贝尔不等式违背由可观测量 ℰ₂ 和 ℐ₃ 刻画,其定义分别见公式 (24) 和公式 (27)。对于 ℐ₃,应用了最大化程序 [69],如第 2.4 节所讨论。

  在图5和图6中,我们展示了根据文献 [69] 得到的 WW 和 ZZ 产生过程中,可观测量 ℰ₂ 和 ℐ₃ 在 (mᵥᵥ, cosΘ) 平面上的等高线图。WZ 产生的结果未予展示,因为文献 [69] 中的分析发现在相关运动学区域,贝尔不等式违背与零假设相比无显著偏离——尽管纠缠的存在仍是一个值得探索的可能性 [67, 69]。

  在 LHC 上对双玻色子产生的蒙特卡洛模拟已在文献 [67, 75] 中完成,使用了 MADGRAPH5_AMC@NLO [135],并纳入了自旋关联、相对论效应以及布雷特-维格纳传播子。事件在领头阶下生成,质心能量为 13 TeV,重点关注四轻子末态。与解析预测一致,在 WW 和 ZZ 通道中,当散射角较大且不变质量高于 400 GeV 时,预计会出现纠缠。然而,即使在高亮度(3 ab⁻¹)条件下,一旦计入统计不确定性,预计不会出现显著的贝尔不等式违背。

  关于 W⁺W⁻ 产生,在文献 [69] 中表明,贝尔不等式的违背发生在比 LHC 情况更宽的运动学变量范围内,且其幅度更大,而理论不确定性可忽略不计。另一方面,在 ZZ 产生的情况下,贝尔不等式违背发生的运动学变量范围与 LHC 情况大致相当。这些分析基于使用 MADGRAPH5 在领头阶计算的相关截面,并将事件数按轻子识别效率进行缩放——保守地假设每个轻子的识别效率为 70%,与 LHC 情况相同。

  考虑到轻子(和缪子)对撞机在 √s = 1 TeV 和未来圆形对撞机(FCC-ee)在 √s = 368 GeV 的基准质心能量下,文献 [69] 表明:对于 WW 双玻色子,未来的缪子对撞机 [145] 和 FCC-ee 均能达到 2σ 显著性水平以拒绝零假设 ℐ₃ ≤ 2。另一方面,对于 ZZ 双玻色子产生,缪子对撞机同样达到 2σ 显著性,而 FCC 由于其更大的事例产额,可超越 4σ 显著性 [69]。

  我们在此考虑由 LHC 上通过共振希格斯粒子 (h) 衰变产生的弱双玻色子 s 通道共振所形成的双量子三比特系统:

  对该系统的第一项研究是在文献 [66] 中进行的,其中在 h → WW* 衰变中研究了纠缠和贝尔不等式的违背。极化密度矩阵是通过 W 衰变中带电轻子的角分布,利用蒙特卡洛模拟重构得到的。

  随后对同一衰变道的分析出现在文献 [146–148] 中。该研究随后扩展至希格斯衰变为两个中性规范玻色子 ZZ,最初见于文献 [67, 68],后在文献 [75] 中进一步探讨。在文献 [69] 中获得了 WW* 和 ZZ* 产生过程的可比较结果,其中采用了在螺旋基底下两个规范玻色子的极化密度矩阵的解析表达式。

  为方便起见,离壳玻色子可被近似为一个具有有效质量的在壳粒子,其有效质量由下式给出:

  并满足条件 Tr[ρₕ] = 1,该条件源于关系式 4(h₃₃ + h₄₄) = 1。在这些假设下,仅剩下两个独立系数。公式 (88) 中 hₐᵦ 的解析表达式可在文献 [69] 中找到。与公式 (88) 相同的自旋密度矩阵已在文献 [68] 中用张量分量 Tᴹᴸ 表示计算得出,其关联系数与公式 (88) 中的系数通过以下关系关联:

  其中系数 C₂,₂,₂,₋₂ 和 C₂,₁,₂,₋₁ 在公式 (23) 中定义。

  公式 (88) 中的密度矩阵代表一个纯态,这可以通过条件 ρ² = ρ 来验证。然而需要强调的是,这种纯态仅在离壳规范玻色子的不变质量取固定值时才成立。随后,在假设双玻色子系统由纯态描述的前提下,可通过公式 (4) 定义的纠缠熵来测量其纠缠度。

  图7和图8分别展示了 WW* 和 ZZ* 衰变的纠缠熵 ℰ 以及最大化的贝尔算符值 ℐ₃ [69]。对 ℐ₃ 的最大化(仅依赖于 Mᵥ*)通过公式 (28) 的幺正旋转逐点进行。在最后几个能区(Mw* = 40 GeV,Mz* = 32 GeV)中取得最大值的幺正矩阵已在文献 [69] 中给出。

  过程 h → WW* 最初在文献 [66] 中使用 MADGRAPH5_AMC@NLO 进行模拟,并包含了完整的自旋关联和相对论效应。仅考虑了轻子衰变。

联系地址:

广东省广州市天河区88号

联系电话:

400-123-4567

服务热线:

13800000000

联系人 :

张生

E-mail :

admin@youweb.com

扫一扫,关注我们

服务热线

400-123-4567